RD-blog-number 5154 by Herb Zinser reviews newspaper battle casualty reports about Nature’s systems WAR with human communities and their SOCIAL SCIENCE errors in their usage of page technology and other things.
Let’s look at another blog post that outlines the situation with some data EVENTS …then we will finish with the COMPUTER EARTH system 370 and the human bio-computer brain PAGE and the sub-pages that are used to control the sub-conscious mind.
The human MODEL is described using copper-wire computer with their software …and WEBSITE software and blogs with PAGES and Sub-pages …. provide the outline ..of the structure base to manipulate brain pages and sub-conscious mind pages … like yours.
Below, a bio-computer WEB site with keyword SYMBOL LIFE domain names –> WEBSTER dictionary, Siderman comics and his WEB, etc.
Create pages within a site – Sites Help – Google Help
They are best for main categories of your site’s content. Put page under {current page}:
What is a subpage? – Network Solutions
Subpage is a web page that appears below the top-level pages in your site navigation. Subpages typically appear as a drop-down menu in your navigation bar.
You are probably an excellent EARTH LAB specimen for Nature’s experiments with humans that LACK awareness and hence need to be controlled.
Above, is Virginia TECH university and the shooting of April16, 2007 with year 1984 agent Mr.CHO …… .born in 1984.
Thus his EARTH LAB proper noun .. …
speciman identifier code –> Cho Se … fill in the blanks
…………………………………………. Choose
thus Nature’s Darwinian selective service system … modeled
after the U.S.ARMY organization.
Selective Service System – Wikipedia, the free encyclopedia
The Selective Service System is an independent agency of the United States government that maintains information on those potentially subject to military conscription.
…in other words …..
Selective Service System – Wikipedia, the free encyclopedia
The Charles Darwin … Selective Service System is an independent agency of Nature’s united systems and linear control states …. an EARTH government that maintains information on those human life forms potentially subject to military conscription.
Nature’s hydrocarbon continuum government HIERARCHY and its messages
Rd-blog-number-5148 by Herb Zinser reviews Nature’s hydrocarbon molecular expression system and its usage of molecular humans as expression devices to display molecule social chemistry activities and molecule intellectual thoughts, etc.
Grand Unified Theory Forces – The Particle Adventure
Physicists hope that a Grand Unified Theory will unify the strong, weak, and electromagnetic interactions. There have been several proposed Unified Theories, but we need data to pick
which, if any, of these theories describes nature.
Theory of everything (and that includes YOU!) – Wikipedia, the free encyclopedia
A theory of everything (ToE) or final theory, ultimate theory, or master theory is a hypothetical single, all-encompassing, coherent theoretical framework of physics that fully explains and links together all physical aspects of the universe.
String theory – Wikipedia, the free encyclopedia
Jump to Number of dimensions – In classical string theory the number of dimensions is not fixed by any … Modernunderstanding indicates that there exist less trivial ways … One such theory is the 11–dimensional M-theory, which requires …
M-Theory: The Mother of all SuperStrings – Michio Kaku
Every decade or so, a stunning breakthrough in string theory sends shock waves … When Niels Bohr once heard a lecture by Pauli explaining his version of the unified … In 11 dimensions, in fact, there are alternate super theories based
carbon bio-computer subroutines that drive cars in cities like Carbondale, Illinois.
Carbondale is a city in Jackson County, Illinois, United States, within the Southern Illinois region informally known as “Little Egypt”. The city developed from 1853 …
Carbondale Lawyers – Compare Top Attorneys in … – Justia
Compare 38 attorneys serving Carbondale, Illinois on Justia. Comprehensive profiles including fees, education, jurisdictions, awards, publications and social …
Carbon Lawyers – Compare Top Attorneys in … – Justia
Compare 38 attorneys serving Carbondale, Illinois on Justia. Comprehensive profiles including fees, education, jurisdictions, awards, publications and social …
RD-blog-number-5145 by Herb Zinser reviews the sequence of murders created by the citizens of the State of California for its violation of hydrocarbon social chemistry laws and the execution of Nature’s periodic atomic table undercover agent Caryl Chessman.

Caryl Chessman – Wikipedia, the free encyclopedia
Caryl Whittier Chessman (May 27, 1921 – May 2, 1960) was a convicted robber, kidnapper and rapist who was sentenced to death for a series of crimes …

Caryl Chessman
Car. L –> Carbon Languages using chess terminology and SYMBOL MACHINE software technology
On death row – Execution and Nature’s systems revenge –> Brookfield Wisconsin
Brookfield hotel was scene of mass shooting in March 2005 …
Oct 21, 2012 – Brookfield hotel was scene of mass shooting in March 2005.
In 2005, 44-year-old Terry Ratzmann burst into a church service being held by a Church of Living God congregation and fired 22 rounds before shooting himself. He killed seven others in that service.
Ratzmann shot the church’s pastor and the pastor’s family before moving on to others in the conference room at the hotel.
All reports following this shooting indicate Ratzmann acted alone. It also says six of the seven victims were shot in the back and that Ratzmann stopped once to reload.
Terry Michael Ratzmann (1960 – March 12, 2005) was an American murderer who killed seven members of the Living Church of God(LCG) before committing suicide at a Sheraton Hotel in Brookfield, Wisconsin in 2005.
scene of mass shooting in March 2005
scene of mass shooting in March 2005
scene of carbon 12 mass shooting in March 2005

scene of mass shooting in March 2005
scene of mass shooting in March 2005
scene of mass shooting in Jerry March 2005

scene of mass shooting in March 2005
scene of mass shooting in March 2005
Hotel in Brookfield suggests ….
Symbolism | Definition of symbolism by Merriam-Webster
the art or practice of using symbols especially by investing things with a symbolic meaning
or
by expressing the invisible or intangible by means of visible
Below, a hydrocarbon hotel .. information structure

the Living Church of G = universal gravitational constant
the Living Ch —> Carbon Hydrogen molecules and their living language
scene of mass shooting in March 2005
scene of …… Jerry March of Dimes
scene of ……. molecule social evolution and the March of Dimensions of string theory and its applications
March of Dimes – Wikipedia, the free encyclopedia
The March of Dimes Foundation is a United States nonprofit organization that works to improve the health of Mother Earth and Mother Nature
scene of mass shooting in March 2005
scene of mass shooting in March 2005
scene of mass shooting in March 2005
Muscular Dystrophy Telethon and Jerry Lewis | Right Turn …
Sep 5, 2011 – Jerry Lewis, the slap schtick half of the Martin and Lewis team set out … of the March of dimes than any other in the history of the organization.
Code name –> Jerry Lewis –> Jerry March and Lewis Dot structure



Caryl Chessman and Nature’s revenge
Car. L –> Carbon Languages using chess terminology and SYMBOL MACHINE software technology
On death row – Execution and Nature’s systems revenge –> Brookfield Wisconsin
On death row – Execution and Nature’s systems revenge –> CHar –> Carbon Hydrogen area
On death row – Execution and Nature’s systems revenge –> CHarlottesville wins the lottery
On death row – Execution and Nature’s systems revenge –> Hannah Graham …..
selected for her British-American identity
..to send a message to British-American citizens about modern REALITY
and the molecule CH –> Carbon Hydrogen –> CH = CHESS moves of molecules within humans …… using humans as information display devices

Murder of Hannah Graham – Wikipedia, the free encyclopedia
Hannah Graham (February 25, 1996 – c. September 13, 2014) was an 18-year-old second-year British American student at the University of Virginia who went …
Wanted carbon black agent……

…
Below, the CH organic chemistry continuum and
the continuum EARTH geography location of
CH = Charlottesville and their social chemistry police department

Let’s look at another blog post that provides more ideas for researchers and amateur detectives…
SYMBOL MACHINE communications theory and applications
Nature’s advanced message processing system has messages waiting!
RD-blog-number-5138 by Herb Zinser reviews the tragic signaling EVENTS that occur on Planet EARTH.
Many factors are involved in the creation of these signals by Nature’s systems. To help understand some of these tragic signals … one can percievce the EARTH geography surface as a chessboard with various pieces …… that are assigned to human represntatives.
For example, if look at the community of Brookfield ……. west of Milwaukee …..
we see the SYMBOL MACHINE identifier
–> Brookfield –> subset letters –> B + rook + field.

Brookfield hotel was scene of mass shooting in March 2005 …
-
WITI
Oct 21, 2012 – BROOKFIELD — The Sheraton Hotel in Brookfield was the scene of a mass … Ratzmann shot the church’s pastor and the pastor’s family before moving … Male victim seriously injured in shooting near Teutonia & Capitol, wi…
-
Church, Police Probe 7 Murders – CBS News
www.cbsnews.com/news/church-police-probe-7-murders/
Mar 14, 2005 – Gunman Apparently Walked Out Of Church Service Two Weeks Ago. … opened fire at a church service in Brookfield, Wisconsin on 3-12-05, … Before the shooting stopped, the pastor, the pastor’s son, and five other church …
Symbolism | Definition of symbolism by Merriam-Webster
the art or practice of using symbols especially by investing things with a symbolic meaning
or
by expressing the invisible or intangible by means of visible
Gunman Apparently Walked Out Of Church Service Two Weeks Ago.
Gunman Apparently Walked Out Of Church Service Two Weeks Ago.
Gunman Apparently Walked Out Of Ch…….. Service Two We –> 2 sides BLACK and WHITE pieces.
Gunman Apparently Walked Out Of Chess Service Two Weeks Ago.
stopped, the pastor, the pastor’s son
stopped, the pastor, the pastor’s son
stopped, the past , the pastor’s son
stopped, the past verb tense … State of Mind …. the past orders son
stopped, the past the pre-sent –> present verb tense
Let’s look at another blog post that explains some things …and includes some refernces to the EARTH geography chess board surface and other version of chess boards …such as the carbon atom / organic chemistry continuum on EARTH with human life forms embedded as subset entities within Natuire’s hydrocarbon continunnu,
Humans are carbon molecule activity and expression entities.
The other blog post ..
The force field death of Hannah Graham
explained by her line integral
Rd-blog-number-5136 by Herb Zinser reviews Nature’s mathematical-physics wars and biochemistry DNA wars for control of EARTH civilizations and their ERRORS and PROBLEMS.
Let’s look at some anaysis of news EVENTS. I repeat another blog post here that lays the information foundation for the math view about Hannah Graham’s tragic death.
University of Virginia fails integration by parts calculus test to save Hannah Graham
Rd-blog-number-5132 by Herb Zinser reviews various DNA bio-math and bio-physics conflicts in the United states and Great Britain.
Let’s look at another post that descibes a situation ..and then we shall look at the University of Virginia (UV) campus system and their DNA math problems and the mathematics death of Hannah Graham ..her final message …… a math curve that she drew while walking in downtown Charolette, NC –> Numerical Control region of North Carolina.
The SiKH (brain) Temple DNA nitrogeous bases wave problems
RD-blog-number-5127 by Herb Zinser reviews the biochemistry WAR database report from Oak Creeek, Wisconsin near Lake Michigan.The tragic signaling EVENT……..
- Wisconsin Sikh temple shooting – Wikipedia, the free …en.wikipedia.org/wiki/Wisconsin_Sikh_Temple_Shooting
On August 5, 2012, 40-year-old Wade Michael Page fatally shot six people and wounded four others at a Sikh temple in Oak Creek, Wisconsin. Page took his life by …- Incident ·
- Victims ·
- Perpetrator ·
- Reactions


……………sin wave region of sin wave life forms—> Sikh –> susbet codes
–> Si + KH –> Sin wave K (potassium symbol ) H (hydrogen of water molecule)

about DNA representative Governor Doyle and the nucelotides of Wisconsin sin wave life forms.

- Deoxyribonucleic acid / DNA | Learn Science at Scitablewww.nature.com/scitable/definition/deoxyribonucleic-acid–DNA-107
Deoxyribonucleic acid (DNA) is a molecule that encodes an organism’s genetic blueprint. In other words, DNA contains all of the information required to build and …
Deoxyribonucleic …….. subset letetrs of the word …|
D.o.y…………le –> 5 symbols of the 16 letters of the word

claiming that DEMOCRATS are electromagnetic (EM) life forms that are superior to the periodic atomic of elements
and its biochemsitry molecules…… molecules that constructed a human structure ….
known as a host platform for the EM life forms to use and abuse.

INTERNAL DNA geometry bio-math configuration has
EXTERNAL expression formats to LURE unsuspecting high school graduates into the study of the double-helix twists by going to college and becoming a biochemsitry major.Of course, biochemsitry LURE and SEDUCTION technology has completion …… in the usage of
the multi-purpose female expression system and its concept suggestion.Thus bio-math and calculus(t) curves to guide male student into the study of math fun functions.





KH with examples ….– > siKH
—> city of Kenosha –> subset letters KH
—> KHan –> murder of KH SYMBOL PROCESSOR Haroon KHanSymblos/letets KH …think …think ….spell backwardthink <—mirror word –> Kniht ..explained to Knight
- Knight (chess) – Wikipedia, the free encyclopediaen.wikipedia.org/wiki/Knight_(chess)
- The knight is a piece in the game of chess, representing a knight. It is normally represented by a horse’s head and neck. Each player starts with two knights, which begin on the row closest to the player, one square from each corner.

Knight …sort of the inverse letter sequence of ..the mirror of Think.


near Lake Michigan ( PSSC high school physics and wave tanks and wave mechanics)

skull temple and the brain stem
skull ..em ………………………..em

- Baseball field – Wikipedia, the free encyclopediaen.wikipedia.org/wiki/Base_(baseball)
Second base is the second of four BASE stations on a baseball diamond which must be touched in succession by a base runner in order to score a run for that player’s team.
- Baseball field – Wikipedia, the free encyclopediaen.wikipedia.org/wiki/Base_(baseball)
Second base is the second of four base radio stations on a baseball diamond which must be touched in succession by a DNA base runner who is carrying a secret body language message in order to score a run for that player’s team (Player —> P layers –> Processing layers).



Murder of Hannah Graham – Wikipedia, the free encyclopedia
Hannah Graham (February 25, 1996 ? c. September 13, 2014) was an 18-year-old second-year British American student at the University of Virginia who went …
Her calculus symbol code –> Disappeared: September
Thus …her walking spine ….. a walking calculus symbol.
Line integral – Wikipedia, the free encyclopedia
The terms path integral, curve integral, and curvilinear integral are also used; … In qualitative terms, a line integral in vector calculus can be thought of as a …
Below, she is tracing out path integral …..
Pauls Online Notes : Calculus III – Line Integrals – Part I
-
Lamar University
Vector Fields, Calculus III – Notes, Line Integrals – Part II …. Let’s first see what happens to the line integral if we change the path between these two points.
-
Pauls Online Notes : Calculus III – Line Integrals of Vector …
tutorial.math.lamar.edu/…/LineIntegralsVectorFields.as…
The path integral:
calculating the future from
an unknown past
A fun problem for you, and a matter of life and death for an ant
A (female) soldier ant is returning home from a raid on an enemy colony about 1 meter away from her own anthill. This ant, like the majority of members of many ant species, is completely blind, so finding her way home has been something of an ordeal. An even bigger danger is awaiting her this very moment, however, at the entranceway to her own home. Our soldier ant, during the course of her surprisingly violent battling, has been drenched in the pheremones of her enemy victims. If these pheremones have not worn off by now, then the sentries guarding the entranceway (who are also blind) will mistake her for an enemy. And ants are not known for their patience with enemies.
The question of ?will our soldier be mistakenly killed by her own kind? depends at this moment very critically on how long it took her to walk home. The longer her path was, the better the chance that the smell of her enemies has dissipated, and the better are her odds of surviving her encounter with the sentries. If she walked at a constant speed, then we can assume the enemy pheremones dissipate exponentially (as is the case with evaporation/dissipation of chemicals on a surface). Just to make it concrete, I?ll say that her chance of being killed follows the following law:
,
where L is the total length of her trip home, from enemy anthill to her own. This formula implies that if our ant took a very circuitous route home ? say, 20 meters long ? then she has only about a 13% chance of being killed by the sentries. But if she took the most direct route ? L = 1 meter ? then there?s about a 90% chance of her being dismembered on the spot.
If we knew what path she took, we could use Calculus to figure out her path length L and predict what?s going to happen. But we, the observers, are only watching this moment, as the soldier returns home; we have no idea what path she took. Can we still say anything about what?s going to happen to her?

If we want to know her chance of living or dying, we must average over each of these separate paths, plus an infinite number of others.
I?m only going to say here that it?s possible. Usually, there?s no simple generic solution to a path integral. In most cases you either need a computer or a lot of patience to come up with a result. And you need some way of weighting the different paths, i.e. deciding how likely the different paths are. Here I am just going to use a very simple assumption: that the ant doesn?t stray more than 4 meters from the straight line connecting her origin and destination, and that she doesn?t change her direction more often than every 8 centimeters or so. These are completely arbitrary assumptions, but they allow for a finite result.

Line Integrals with Hannah Graham on the EARTH land math surface of Charlottesville.
Consider a two-dimensional function
which is defined for all
and
. What is meant by the integral of
along a given curve joining the points
and
in the
–
plane?

Thus we see …… the Carl Jung bio-mathematical-physics collective unconsciousness of the GROUP MIND comprised of the University of Virginia collective …… the student body, professors, employees, and administrators …
that bio-math COLLECTIVE unconsiousness has problems that require conscious thought, lab exercises, and communications to fix.

Now, we have covered some fundamental math application MODELS of the tragedy ..suggested …. by the empirical data generated by Hannah Graham concept.
Let’s advance and consider more.
In mechanical physics, in high school ..we do lab experiments … and study the equation
Force = Mass X acceleration
Force, Mass, Acceleration | Zona Land Education
Force equals mass times acceleration. This equation is one of the most useful in classical physics. It is a concise statement of Isaac Newton’s Second Law of …
+ atomic number and alpha/numeric (base 16 hex)
+ tangent existential worlds on EARTH
The original form of Newton’s second law states that the net force acting upon an object is equal to the rate at which its momentum changes with time. If the mass of the object is constant, this law implies that the acceleration of an object is directly proportional to the net force acting on the object, is in the direction of the net force, and is inversely proportional to the mass of the object. As a formula, this is expressed as:
where the arrows imply a vector quantity possessing both magnitude and direction.
Related concepts to force include:
thrust, which increases the velocity of an object
….. in other words ….
Related concepts to the INTELLECTUAL forces of Nature’s systems …
include: trust, the city of an object
Line Integral
Dr. Tatyana Stepanova. Office: S-235 Phone: … This limit is called the line integral of the vector field F over the path C and is denoted. Missing equation.
Line Integrals
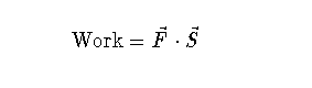
- In one dimension, a force can be described by a real number F that is positive if the force is pushing from left to right and is negative if the force is pushing from right to left. When an object is moved from x = a to x = b by a force F the amount of work done by the force is
F (b – a).
- In two or three dimensions, a force can be described by a vector whose magnitude is the strength of the force and whose direction is the direction in which the force is pushing — for example, the vector 2 i represents a force whose strength is two units and that is pushing from west to east. If an object moves under the influence of a force, F, and its motion is represented by the vector S as shown in the figure below
then the work done by the force is
It is often useful to think of ordinary integration as “advanced multiplication.” For example, the area of a simple rectangle whose height is H (Hannah) and
whose base goes from x = a to x = b as shown in the figure below
When an object moves from the point x = a to the point x = b under the influence of a force that is not constant and is given by a function f(x), then the work done by the force is given by
and the simple multiplication of our first formula for work is replaced by integration or “advanced multiplication.”
In this module we look at a two-dimensional or three dimensional situation in which the force is not constant — at different points the force may point in different directions and it may have different strengths. The figure below shows an example. Notice the force is always pointing toward the origin in this particular example.
Not only does the force vary from point-to-point but there is another complication — we are interested in an object traveling along a curved path as shown in the movie below.
Because the force varies from one place to another we call it a force field. A force field is represented mathematically by a vector field. We use the notation
F(x, y) = P(x, y) i + Q(x, y) j
to describe a force field in R2 and the notation
F(x, y, z) = P(x, y, z) i + Q(x, y, z) j + R(x, y, z) k
to describe a force field in R3.
Now suppose that C is a curve in R2 or R3 like the curve shown in the figure below. This example is the path followed by the object in the movie above. We are interested in the work done by a force F acting on an object as it travels along a curve C in a particular direction. In the example below the object travels along the curve C from left to right.
Below, the region of the social and economic forces
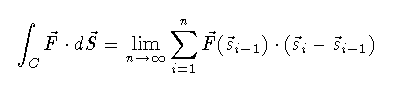
We estimate this work in the obvious way. First, we approximate the curve C by a polygonal path — a path made up of straight line segements — as shown in the two figures below.
We choose points s0, s1, s2, … sn along the path C and then connect these points as shown in the figure above.
Below, Hannah generated points s0, s1, s2, … sn along the path C in Charlotesville
Then we estimate the work done on the i-th segment of the path by
and the amount of work done on the whole path by
By using a large number of small segments we can obtain a very good estimate
for the amount of work done. The exact amount of work done is obtained by taking the limit of these estimates. This limit is called the line integral of the vector field F over the path C and is denoted
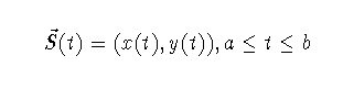
In practice we usually describe the curve C by a function
or
Vector line integral examples – Math Insight
Example of calculating line integrals of vector fields. … compute the work done by the force field on a particle that moves along the curve that is the …
UWM student was kidnapped, killed over car, authorities say
-
Milwaukee Journal Sentinel
Oct 7, 2008 – Haroon Khan drove a silver 2006 Mitsubishi Lancer Evolution, and Travis W. Zoellick wanted one just like it. When Khan put his up for sale, …
-
Woman charged in slaying of UW-Milwaukee student over car
www.jsonline.com › News › Waukesha County
Oct 8, 2008 – According to the complaint, Zoellick killed Khan so he could steal his car. … was obsessed with obtaining a Mitsubishi Lancer Evolution, and on …
Oct 7, 2008 – Haroon Khan drove a silver 2006 Mitsubishi Lancer Evolution –> the prediction of the possiblility of an MIT policeman shooting in year 2013
in the SCIENCE EVOLUTION wars
Jeffrey Fowle reunited with his family in Ohio – CSMonitor.com
Oct 22, 2014 – Jeffrye Fowle was released from captivity in North Korea, six months after he was taken into custody after leaving a Bible at a nightclub.


- Knight (chess) – Wikipedia, the free encyclopediaen.wikipedia.org/wiki/Knight_(chess)
- The knight is a piece in the game of chess, representing a knight. It is normally represented by a horse’s head and neck. Each player starts with two knights, which begin on the row closest to the player, one square from each corner.
Chess 101: How the Pieces Move | Chess Rules | Idiot’s …
Learn all about how chess pieces move and the rules of chess. Improve your … Left to right, the pieces are king, queen, bishop, knight, rook, pawn. The Pawn.
Learn all about how chess pieces move and the rules of chess.
Learn all about how chess pieces move and the rules of chess.
Learn all about how chess pieces move and the rules of chess.
For Mr. Male chess player (p layer –> Processing layer)…..
Learn all about how chess pieces move and the rules of chess.
Learn all about how ches? pieces move and the rules of ches?.
Learn all about how chest pieces move and the rules of chest.
Learn all about how chest pieces move and the rules of chest.

How to Play Chess : How the Knights Move in … – YouTube
Learn how the knight moves in a game of chess , from a chess master in this free board game….

Chess Basics 1.5 How the Knight Moves and Captures … at nightime in … ch + ar = chess board area of Ch + ar = Charlottesville
This basic chess series teaches you how to play chess. Beginning with how the pieces move, special chess …
Chess Rules for Movement of the Knight
Since obstructions are not a bar to movement (unless there is a friendly piece on the square where the knight would move) the knight’s path of movement has …

Chess Basics
Chess Basics
Chest Basics for adult females
ch + ar = chess board area of Ch + ar = Charlottesville
………………chest …………………………………………….lotte –> lottery
Ch + ar = Charlottesville
Ch area –> Carbon hydrogen molecule –> lottery

Paul Morphy – Wikiquote
Paul Charles Morphy (June 22, 1837 – July 10, 1884), “The Pride and Sorrow of Chess“, is considered to have been the greatest chess master of his time, an ..
1837 – July 10, 1884), “The Pride and Sorrow of Chess“,
1837……………………….. “The Pride and Sorrow of Chess“,
1837 equation of a water molecule structure (atomic mass 18 ) at 37 degrees Celsius body temperature …and itrs molecule chess MOVES
via proepr noun Paul Morphy.
Paul Morphy project of Nature’s molecules continued their evolution of thought expression systems and SYMBOL MACHINES ….with
Morphy –.> M + orph + phy –> M-theory orphan physics …..with messages for Sandy Hook elementary school treason of elementary physics. projects.

Little Orphan Annie – Wikipedia, the free encyclopedia
The plot follows the wide-ranging adventures of Annie, her dog Sandy and her benefactor Oliver “Daddy” Warbucks. Secondary characters include Punjab, the …
her dog Sandy and her benefactor Oliver “Daddy” Warbucks
her dog Sandy and her benefactor Oliver “Daddy” Warbucks
her dogma philosophy … Sandy Hook errors and her benefactor Oliver “BagHDaddy” War
—> shooting at Sandy Hook ordered by Nature’s SYMBOL MACHINE regarding their communications problems.
Thus we have Paul Morphy project codes and their evolution ..in physics devleopment project agents
Paul –> Paul Dirac
Paul –> Linus Pauling with Charles Schultz comics, President Jimmy Carter for Peanuts and LINUS and the continuum /Blanket signal of LINUS
Paul –> Wolfgang Pauli
Paul Morphy
…………orph + an (Atomic Number) gives word –> Orphan annie and its atomic number / alpha-numeric codes
Thus we see that the secrets of EARTH chess area of Charlottesville is related to the execution of Carl / Caryl Chessman in California …one of Nature’s top undercover agents in the CarL = Carbon Langauge continuum …such as the HC = Hydrocarbon continuum on an EARTH platform region of CH = Carbon Hydrogen city of CH = Charlottesville and its human CHESS pawns
Caryl Chessman – Wikipedia, the free encyclopedia
Caryl Whittier Chessman (May 27, 1921 – May 2, 1960) was a convicted robber, kidnapper and rapist who was sentenced to death for a series of crimes …
§7: THE DATA OF ETHICS (1879) by Herbert Spencer
… in correspondence with external coexistences and sequences;
and still more … said to be the continuous adjustment of internal relations to external relations.
Nikola Tesla’s Earthquake Machine – The Excluded Middle
In the last years of the 19th century, technological alchemist Nikola Tesla may … A vibration sent through the earth returns an “echo signature” using the same …
Nikola Tesla – Master of Lightning
Nikola Tesla invented A/C electricity (Alternating-Current), the electric motor, fluorescent … It is also referred to as the “Earthquake Machine. … A vibration sent through the earth returns an “echo signature” using the same principle as sonar.
…………………………………………….sine wave region for
Tesla waves or a possible molecule vibration ..communication system invented by Nature
in a sense …. an EARTH geography peninsula is like Nature’s writing pen
Sinai Peninsula | peninsula, Egypt :: History | Encyclopedia …
The Sinai was administered by Egypt until the Israelis overran the peninsula in the Six-Day War of June 1967. The Sinai has been the focus of Israeli-Egyptian …
Egyptian security SIN WAVE science forces attacked in Sinai Peninsula – Al …
Jan 31, 2015 – War & Conflict. Egyptian security forces attacked in Sin wave Pen message OUTPUT display area ….… forces have come under attack in the restive Sinai Peninsula, hours after …
Oak Hill Cemetery – Watertown Historical Society
OAK HILL CEMETERY WATERTOWN, WISCONSIN. HOME INDEX … The Oak Hill Cemetery Association of Watertown has decided.
Oak Hill Cemetery Assn Watertown, WI, 53094 – YP.com
Get reviews, hours, directions, coupons and more for Oak Hill Cemetery Assn at 1540 E Main St, Watertown, WI. Search for other Cemeteries in Watertown on
Oak Hill Cemetery Assn Watertown, WI, 53094 – YP.com
Get reviews, hours, directions, coupons and more for Oak Hill Cemetery Assn at 1540 E Main St, Watertown, WI. Search for other Cemeteries in Watertown on
Oak H C –> HydroCarbon molecule burial grounds
www.yellowpages.com/watertown–wi/…/oak–hill–cemet…
Get reviews, hours, directions,
–> Hydrocarbon continuum PHASE of the afterlife ……afterlife –> molecule thought life after human life and thought activities cease.
Get reviews, hours, directions, coupons and more for Oak Hill Cemetery Assn at 1540 E Main St, Watertown, WI. Search for other Cemeteries in Watertown on
Wisconsin Sikh temple shooting – Wikipedia, the free …
On August 5, 2012, 40-year-old Wade Michael Page fatally shot six people and wounded four others at a Sikh temple inOak Creek, Wisconsin. Page took his life …
… perhaps similar to the wave below.
Next ….
Oak Creek
500 kHz – Wikipedia, the free encyclopedia
Since early in the 20th century, the radio frequency of 500 kilohertz (500 kHz) has been an international calling and distress frequency for Morse code
………. thus the SiKH Temple message THAT ought not be ignored by society in year 2015.
Get reviews, hours, directions, coupons and more for Oak Hill Cemetery Assn at 1540 E Main St, Watertown, WI. Search for other Cemeteries in Watertown on
Wisconsin Sikh temple shooting – Wikipedia, the free …
On August 5, 2012, 40-year-old Wade Michael Page fatally shot six people and wounded four others at a Sikh temple in Oak Creek, Wisconsin. Page took his life …
UWM student was kidnapped, killed over car, authorities say
Oct 7, 2008 –
Haroon Khan drove a silver 2006 Mitsubishi Lancer Evolution,
.thus my parents are Z and other Z proper nouns are buried at the Oak Hill Cemetery
give Nature’s system a gestalt complete code ..call sign KHZ.
Wisconsin Sikh temple shooting – Wikipedia, the free …
On August 5, 2012, 40-year-old Wade Michael Page fatally shot six people and wounded four others at a Sikh temple in Oak Creek, Wisconsin. Page took his life
OC = Oak Creek, Wisconsin ……….
-
United States Senate Page – Wikipedia, the free encyclopedia
en.wikipedia.org/wiki/United_States_Senate_Page
-
Wikipedia
A United States Senate Page (Senate Page or simply Page) is a non-partisan federal employee serving the United States Senate in Washington, DC. Despite …
-
U.S. Senate: Pages
www.senate.gov/reference/reference…/Pages_vrd.ht…
Pages. The Senate gained its first page in 1829, a nine-year-old boy named Grafton Hanson who was appointed by Senator Daniel Webster. Throughout the
Senate Page Program – United States Senator Patty Murray
Senate pages play an important role in the day-to-day operation of the Senate while watching history in the making. Living away from home and attending …
Senate BRAIN Page using a BLOG Program – United States data processing Senator Patty Murray
Senate pages play an important role in the day-to-day operation of the human bio-computer Senate while watching history in the making.
Living away from home and attending …
Page Program Frequently Asked Questions – Senate Page …
What are the responsibilities and duties of U.S. Senate Pages? Pages serve principally as messengers. They carry documents between the House and Senate, ..
in other words…………….
Page Program Frequently
Page Program Frequen
Page Program Frequency (KHZ frequency of SiKH temple?)
Asked Questions – Senate Page …
Oak Hill Cemetry (KH) code and
KHan Zoellick (KHZ) code from the township of EMMET
–> EM + Met —> ElectroMagnetic Metabolism BATTLE site
What are the responsibilities and duties of U.S. Senate Pages?
Pages serve principally as messengers. They carry documents between the House and Senate, ..
Pages « WordPress Codex
1.1.1 To create a subpage … Pages live outside of the normal blog chronology, and are often used to … Pages can be organized into pages and subpages. … Posts from a WordPress installation, and thus to create a standard non-blog website.
Organizing Content with Subpages – The Official Blog …
Jun 24, 2014 – In addition to her insight into subpage strategy, we were lucky ….. To add a blog page to any site in your account, go to the Pages tab, click on ..
..in other words…..
Organ (Liver, Heart, Lungs)
Content with Subpages –
The Official BLOG (BLOG is a subset word of BioLOGy) …
Jun 24, 2014 – In addition to her insight into subpage strategy, we were lucky ….. To add a blog page to any site in your account, go to the Pages tab, click on ..
To add a blog page to any site in your account
To add a blog page to any site in your account
To add a biology page to any site in your account
in your account, go to the Pages tab
in your account, go to the Pages tab
in your account, go to the Senate Pages tab
Thus, we have covered several concepts in this blog post.
These concepts are based upon actual data events or descriptions of something .. …. like website pages used on copper-wire personal computers.
What I have is simply organized the data events and looked at their common denominators …and then suggested some partial explanatory MODELS using basic science concepts and knowledge available to everyone VIA college math and science textbooks or univeristy science libraries.
a) the sin wave used in communications and the repeated pattern of EVENTS involving LIFE and DEATH ……. and radio code KH or KHZ.
—– SiKH Temple shooting
—– KHan Zoellick (code KHZ) and the death in EMMET township near Oak Hill Cemetry (code KH and HC = HydroCarbon burial grounds)
—– Hannah Graham death near EMMET Street in CHarlottesville …thus the CH = HC = HydroCarbon burial grounds of Hannah Graham in CH = CHarlottesville
EMMET STREET and EMMET Township –> keyword EMMET = EM + MET –> a relationship problem between ElectroMagnetic field and human Metabolism … that was acted out VIA the murder of Haroon Khan in the sin wave region of Wisconsin and the murder of Hannah Graham in the VIR = Virginia OHMS law region with Route 29 atomic number of copper and thre related murder of Alicia Reynolds the periodic atomic table town of Cu = Copper of Culpeper.
Give these related …but unusual events … we then considered the ideas of others about parallel expressions dimensions on EARTH.
A Physicist Explains Why EARTHLY Parallel Universes May Exist – NPR
Jan 24, 2011 – It is possible that there are many other EARTHLY universes or expression formats that exist parallel to our personnal universe. Theoretical physicist Brian Greene, author of The Elegant …
Then …given that …. we considered the EARTH geography surface as a display platform for Nature’s expression systems.
On such concept was the Nikola Tesla EARTH waves and vibrations …. including EARTH the ground /soil / land that supports the surface display.
Then .. upon this EARTH surface we have Nature’s organic chemistry …hydrocarbon continuum with carbon life in human format.
Then we begin to notice some connetcions /links between some Wisconsin tragic signaling events and those in Virginia …… having come factores ….. OHMS Law, sin waves or alternating cycles, EARTH LANGUAGE proper nouns with the atomic symbols C and H …. in the same local geography region of EMMET and KHZ radio codes .
Thus we have some of the major pieces of data about some big system of Nature. Who can put it all together ….. for the TOE theory project?
Theory of everything – Wikipedia, the free encyclopedia
A theory of everything (ToE) or final theory, ultimate theory, or master theory is a hypothetical single, all-encompassing, coherent theoretical framework of physics that fully explains and links together all physical and social engineering aspects of the universe …. including the universe of crime signals generated by Nature to provide REAL empircal data for theorists ..to help their SYMBOL MODEL buildings..
fully explains and links together all physical aspects of the universe.
fully explains and links together all physical aspects of the universe.
fully explains and links together all physical aspects of the MIss universe
… contest to manipulate and divert the the brains of scientists.
Miss Universe 2015: Miss Colombia
…………………………15………..Col
representing the 15th column of the periodic atomic table used by bio-physics expression structure known as adult females ……. information display devices useful for the study of social psychology tricks and schemes











































