RD-blog-number-5136 by Herb Zinser reviews Nature’s mathematical-physics wars and biochemistry DNA wars for control of EARTH civilizations and their ERRORS and PROBLEMS.
Let’s look at some anaysis of news EVENTS. I repeat another blog post here that lays the information foundation for the math view about Hannah Graham’s tragic death.
University of Virginia fails integration by parts calculus test to save Hannah Graham
Rd-blog-number-5132 by Herb Zinser reviews various DNA bio-math and bio-physics conflicts in the United states and Great Britain.
Let’s look at another post that descibes a situation ..and then we shall look at the University of Virginia (UV) campus system and their DNA math problems and the mathematics death of Hannah Graham ..her final message …… a math curve that she drew while walking in downtown Charolette, NC –> Numerical Control region of North Carolina.
RD-blog-number-5127 by Herb Zinser reviews the biochemistry WAR database report from Oak Creeek, Wisconsin near Lake Michigan.The tragic signaling EVENT……..
- Wisconsin Sikh temple shooting – Wikipedia, the free …en.wikipedia.org/wiki/Wisconsin_Sikh_Temple_Shooting
On August 5, 2012, 40-year-old Wade Michael Page fatally shot six people and wounded four others at a Sikh temple in Oak Creek, Wisconsin. Page took his life by …
Thus we have Lake Michigan …suggestive of water waves …oscillations.
In addition, we have Nature’s SYMBOL MACHINE language code words–> Wisconsin
……………sin wave region of sin wave life forms—> Sikh –> susbet codes
–> Si + KH –> Sin wave K (potassium symbol ) H (hydrogen of water molecule)
Thus the database signal coming from the SiKH Temple shooting ..is about waves …
about DNA representative Governor Doyle and the nucelotides of Wisconsin sin wave life forms.
James Edward “Jim” Doyle (born November 23, 1945) is a
Wisconsin politician and member of the
Democratic Party. He was the
44th Governor of
Wisconsin, serving from January 6, 2003 to January 3, 2011.Thus ..he is Nature’s represtaive for 5/16 of DNA message system.The Democratic Party denies the existence of biochemsitry DNA and its solid thoughts …
claiming that DEMOCRATS are electromagnetic (EM) life forms that are superior to the periodic atomic of elements
and its biochemsitry molecules…… molecules that constructed a human structure ….
known as a host platform for the EM life forms to use and abuse.
Above,
INTERNAL DNA geometry bio-math configuration has
EXTERNAL expression formats to LURE unsuspecting high school graduates into the study of the double-helix twists by going to college and becoming a biochemsitry major.Of course, biochemsitry LURE and SEDUCTION technology has completion …… in the usage of
the multi-purpose female expression system and its concept suggestion.Thus bio-math and calculus(t) curves to guide male student into the study of math fun functions.
The power of suggestion …… she wants more calculus students to study integration and integartion by patrts.
Thus we see Nature’s system ..INTERNAL biology/brain and their EXTERNAL displays messages
EXTERNAL information displays about INTERNAL software systems ….. are the external EARTH geography sites that have a Jewish Temple, a SiKH Temple, etc.
Thus the SYMBOL MACHINE view of the word/letter ENGINES code name –>
KH with examples ….– > siKH
—> city of Kenosha –> subset letters KH
—> KHan –> murder of KH SYMBOL PROCESSOR Haroon KHanSymblos/letets KH …think …think ….spell backwardthink <—mirror word –> Kniht ..explained to Knight
- Knight (chess) – Wikipedia, the free encyclopediaen.wikipedia.org/wiki/Knight_(chess)
- The knight is a piece in the game of chess, representing a knight. It is normally represented by a horse’s head and neck. Each player starts with two knights, which begin on the row closest to the player, one square from each corner.
Thus we see Nature’s systems and it chess component ..with SYMBOL MACHINE word
Knight …sort of the inverse letter sequence of ..the mirror of Think.
Tus we think of the EARTH geography region of the greater Milwuakee …souteast Wisconsin land surface ..as Nature’s chessborad ..with humans as pawns and DNA nitrogenous bases as Knights.Code –> Knight –> subset code –> nig –> suggests nitrogen and DNA
Thus we have a molecular chess board ….. and some conflict that wa splayed out at the EXTERNAL location of the SiKH Temple (sin wave code)
near Lake Michigan ( PSSC high school physics and wave tanks and wave mechanics)
Thus we begin to see the SECRET biochmesitry DNA manipulation socity in the greater Miwaukee region ..run by citizens with univeristy approval.The 4 bases above …… and the VERBAL word commands issued by baseball radio announcements and the picture comamands issued by the televivsion electromagnetic (EM) broadcasts of the station … by their superior DNA employees….. that broadcast FCC approved EM control waves directly into the
skull temple and the brain stem
skull ..em ………………………..em
Thus Nature’s systems VERSUS the bio-radio and bio-television attack on the brain SYMBOL ENGINE ..hence, Nature’s military systems and the creation of the DNA wave war message in oak Creek.
- Baseball field – Wikipedia, the free encyclopediaen.wikipedia.org/wiki/Base_(baseball)
Second base is the second of four BASE stations on a baseball diamond which must be touched in succession by a base runner in order to score a run for that player’s team.
- Baseball field – Wikipedia, the free encyclopediaen.wikipedia.org/wiki/Base_(baseball)
Second base is the second of four base radio stations on a baseball diamond which must be touched in succession by a DNA base runner who is carrying a secret body language message in order to score a run for that player’s team (Player —> P layers –> Processing layers).
Thus we wee the DNA war zone in southeastern Wisconsin and the biochemistry war casualties …. and the incomplete explanations given in newspapers about the entire situation.
Now, let’s look at Hannah Granham and uv = university of virginia

en.wikipedia.org/wiki/Murder_of_Hannah_Graham
Hannah Graham (February 25, 1996 ? c. September 13, 2014) was an 18-year-old second-year British American student at the University of Virginia who went …
Disappeared: September 13, 2014 (aged …
Cause of death
Her calculus symbol code –> Disappeared: September

Thus …her walking spine ….. a walking calculus symbol.
en.wikipedia.org/wiki/Line_integral
The terms path integral, curve integral, and curvilinear integral are also used; … In qualitative terms, a line integral in vector calculus can be thought of as a …

Below, she is tracing out path integral …..

tutorial.math.lamar.edu/Classes/…/LineIntegralsPtI.aspx
-
Vector Fields, Calculus III – Notes, Line Integrals – Part II …. Let’s first see what happens to the line integral if we change the path between these two points.
-
tutorial.math.lamar.edu/…/LineIntegralsVectorFields.as…
Line Integrals – Part II, Calculus III – Notes, Fundamental Theorem for Line Integrals … about reversing the direction of the path with line integrals of vector fields.
The path integral:
calculating the future from
an unknown past

A fun problem for you, and a matter of life and death for an ant
A (female) soldier ant is returning home from a raid on an enemy colony about 1 meter away from her own anthill. This ant, like the majority of members of many ant species, is completely blind, so finding her way home has been something of an ordeal. An even bigger danger is awaiting her this very moment, however, at the entranceway to her own home. Our soldier ant, during the course of her surprisingly violent battling, has been drenched in the pheremones of her enemy victims. If these pheremones have not worn off by now, then the sentries guarding the entranceway (who are also blind) will mistake her for an enemy. And ants are not known for their patience with enemies.
The question of ?will our soldier be mistakenly killed by her own kind? depends at this moment very critically on how long it took her to walk home. The longer her path was, the better the chance that the smell of her enemies has dissipated, and the better are her odds of surviving her encounter with the sentries. If she walked at a constant speed, then we can assume the enemy pheremones dissipate exponentially (as is the case with evaporation/dissipation of chemicals on a surface). Just to make it concrete, I?ll say that her chance of being killed follows the following law:
,
where L is the total length of her trip home, from enemy anthill to her own. This formula implies that if our ant took a very circuitous route home ? say, 20 meters long ? then she has only about a 13% chance of being killed by the sentries. But if she took the most direct route ? L = 1 meter ? then there?s about a 90% chance of her being dismembered on the spot.
If we knew what path she took, we could use Calculus to figure out her path length L and predict what?s going to happen. But we, the observers, are only watching this moment, as the soldier returns home; we have no idea what path she took. Can we still say anything about what?s going to happen to her?

The answer, surprisingly, is yes. Usually, people use Calculus for summing (integrating) over all possible values of some quantity. The Calculus of path integrals is similar: it sums (integrates) over all possible paths (or histories) that connect one moment and another. And it allows us to predict the future of this ant. In evaluating whether our ant will live or die, we need to integrate over all possible paths that she could have walked along. Something like this:

If we want to know her chance of living or dying, we must average over each of these separate paths, plus an infinite number of others.
I?m only going to say here that it?s possible. Usually, there?s no simple generic solution to a path integral. In most cases you either need a computer or a lot of patience to come up with a result. And you need some way of weighting the different paths, i.e. deciding how likely the different paths are. Here I am just going to use a very simple assumption: that the ant doesn?t stray more than 4 meters from the straight line connecting her origin and destination, and that she doesn?t change her direction more often than every 8 centimeters or so. These are completely arbitrary assumptions, but they allow for a finite result.

Line Integrals with Hannah Graham on the EARTH land math surface of Charlottesville.
Consider a two-dimensional function
which is defined for all
and
. What is meant by the integral of
along a given curve joining the points
and
in the
–
plane?

Thus we see …… the Carl Jung bio-mathematical-physics collective unconsciousness of the GROUP MIND comprised of the University of Virginia collective …… the student body, professors, employees, and administrators …
that bio-math COLLECTIVE unconsiousness has problems that require conscious thought, lab exercises, and communications to fix.

Now, we have covered some fundamental math application MODELS of the tragedy ..suggested …. by the empirical data generated by Hannah Graham concept.
Let’s advance and consider more.
In mechanical physics, in high school ..we do lab experiments … and study the equation
Force = Mass X acceleration
zonalandeducation.com/mstm/physics/…/forces/…/mightyFEqMA.html
Force equals mass times acceleration. This equation is one of the most useful in classical physics. It is a concise statement of Isaac Newton’s Second Law of …
Thus we a have classical mechanics ….
and in modern times we have
Social forces = ma / mother/ woman and her daughters of the American revolution
Thus the keywords –> ma & pa –> mapa –> map america provided by your mother/father in year 2015 ….. for those over 40 years old.
Thus word –> Manhtattan in New York city …is a social engineerins equation
Social Forces = ma ..and a specific application
Social Forces = Manhattan—> ma + nh + att + an + tan
–> map amino acids (nh) + attributes (data field site)
+ atomic number and alpha/numeric (base 16 hex)
+ tangent existential worlds on EARTH
Thus some of the concepts of mechanical forces are useful in describing social and economic forces
The original form of Newton’s second law states that the net force acting upon an object is equal to the rate at which its momentum changes with time. If the mass of the object is constant, this law implies that the acceleration of an object is directly proportional to the net force acting on the object, is in the direction of the net force, and is inversely proportional to the mass of the object. As a formula, this is expressed as:

where the arrows imply a vector quantity possessing both magnitude and direction.
Related concepts to force include:
thrust, which increases the velocity of an object
….. in other words ….
Related concepts to the INTELLECTUAL forces of Nature’s systems …
include: trust, the city of an object
Below, a man pushing a car with manual force..
Now, let look at Hannah Graham and the Charlottesville social forces.
Below, the line integral path …. being drawn by her footsteps on EARTH surface
Raritan Valley Community College
Dr. Tatyana Stepanova. Office: S-235 Phone: … This limit is called the line integral of the vector field F over the path C and is denoted. Missing equation.
vector field F over the path C and is denoted. Missing equation.
vector field F over the path C and is denoted. Missing equation.
vector field F over the path Charlottesville and is denoted. Missing equation.
Let looks ….. at an advanced model of math social forces in Charlottesville.
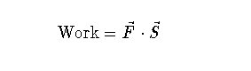
- In one dimension, a force can be described by a real number F that is positive if the force is pushing from left to right and is negative if the force is pushing from right to left. When an object is moved from x = a to x = b by a force F the amount of work done by the force is
F (b – a).
- In two or three dimensions, a force can be described by a vector whose magnitude is the strength of the force and whose direction is the direction in which the force is pushing — for example, the vector 2 i represents a force whose strength is two units and that is pushing from west to east. If an object moves under the influence of a force, F, and its motion is represented by the vector S as shown in the figure below

then the work done by the force is

It is often useful to think of ordinary integration as “advanced multiplication.” For example, the area of a simple rectangle whose height is H (Hannah) and
whose base goes from x = a to x = b as shown in the figure below
When an object moves from the point x = a to the point x = b under the influence of a force that is not constant and is given by a function f(x), then the work done by the force is given by

and the simple multiplication of our first formula for work is replaced by integration or “advanced multiplication.”
In this module we look at a two-dimensional or three dimensional situation in which the force is not constant — at different points the force may point in different directions and it may have different strengths. The figure below shows an example. Notice the force is always pointing toward the origin in this particular example.

Not only does the force vary from point-to-point but there is another complication — we are interested in an object traveling along a curved path as shown in the movie below.


Because the force varies from one place to another we call it a force field. A force field is represented mathematically by a vector field. We use the notation
F(x, y) = P(x, y) i + Q(x, y) j
to describe a force field in R2 and the notation
F(x, y, z) = P(x, y, z) i + Q(x, y, z) j + R(x, y, z) k
to describe a force field in R3.
Now suppose that C is a curve in R2 or R3 like the curve shown in the figure below. This example is the path followed by the object in the movie above. We are interested in the work done by a force F acting on an object as it travels along a curve C in a particular direction. In the example below the object travels along the curve C from left to right.

Below, the region of the social and economic forces

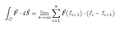
We estimate this work in the obvious way. First, we approximate the curve C by a polygonal path — a path made up of straight line segements — as shown in the two figures below.


We choose points s0, s1, s2, … sn along the path C and then connect these points as shown in the figure above.
Below, Hannah generated points s0, s1, s2, … sn along the path C in Charlotesville

Then we estimate the work done on the i-th segment of the path by

and the amount of work done on the whole path by

By using a large number of small segments we can obtain a very good estimate for the amount of work done. The exact amount of work done is obtained by taking the limit of these estimates. This limit is called the line integral of the vector field F over the path C and is denoted

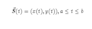
In practice we usually describe the curve C by a function

or

and we divide the time interval [a, b] up into n subintervals. by letting

Thus we see the force field …..
mathinsight.org/line_integral_vector_examples
Example of calculating line integrals of vector fields. … compute the work done by the force field on a particle that moves along the curve that is the …
a particle that moves along the curve
a particle that moves along the curve
a particle that moves along the curve
Below, the EARTH LAB view of the Hannah Graham particle that moves along a curve ………..
The other data generated by Hannah Graham comes from another dimension of her existence.
Above, she existed in a physical biology format .. using 2 legs and walking to generate a line integral …..with her TOES providing data for Theory of Everything Scientists.
In her death … their exists another EARTH geography database region ..with various line integrals … road maps to help understand REALITY.
Thus we have Nature’s code –> Plank RD –> Plan K Research & Design
Other project Plan K signaling database……..
Fort Hood shooting in K = Kill in Killeen, Texas (code KH = Killeen Hood))
K –> Killing of KHan, Haroon (code KH = KHan in NATURE’s evolution death signal)
www.jsonline.com › … › Milwaukee County
-
Milwaukee Journal Sentinel
Oct 7, 2008 – Haroon Khan drove a silver 2006 Mitsubishi Lancer Evolution, and Travis W. Zoellick wanted one just like it. When Khan put his up for sale, …
-
www.jsonline.com › News › Waukesha County
Milwaukee Journal Sentinel
Oct 8, 2008 – According to the complaint, Zoellick killed Khan so he could steal his car. … was obsessed with obtaining a Mitsubishi Lancer Evolution, and on …
Milwaukee Journal Sent advance message to Cambridge and Boston Marathon race
Oct 7, 2008 – Haroon Khan drove a silver 2006 Mitsubishi Lancer Evolution –> the prediction of the possiblility of an MIT policeman shooting in year 2013
in the SCIENCE EVOLUTION wars
K –> shooting at SiKH temple (code KH)
K –> the North Korean arguments ..
www.csmonitor.com/…/Jeffrey-Fowle-reu…
The Christian Science Monitor
Oct 22, 2014 – Jeffrye Fowle was released from captivity in North Korea, six months after he was taken into custody after leaving a Bible at a nightclub.
Thus we see many incomplete explantions about various events.